-
-
-
Tổng tiền thanh toán:
-
Các Dạng Bài Tập Liên Quan Đến Công Thức Đạo Hàm
Ngày đăng:
27/03/2024
Bởi: CÔNG TY CỔ PHẦN THƯƠNG MẠI VÀ ĐÀU TƯ -HELIOS
|
[MỤC LỤC]
|
Trong chương trình toán cấp 3, đạo hàm là một kiến thức quan trọng không thể thiếu. Tổng hợp Công thức đạo hàm và các dạng bài tập đầy đủ dưới đây sẽ giúp các em vượt qua một cách dễ dàng. Cùng theo dõi ngay nhé!
1. Định nghĩa về đạo hàm
Đạo hàm là một hàm mô tả sự biến thiên tại một điểm. Hay chính là tỷ số giữa số gia và hàm số tại 1 điểm x0 trong toán học. Độ lớn của biến thể và hướng của biến thể sẽ đại diện cho giá trị của đạo hàm.
Theo định nghĩa khác, đạo hàm cũng có thể hiểu là sự biến thiên lên xuống của hàm số tại điểm thay đổi. Bên cạnh đó, đạo hàm còn được coi là vận tốc tức thời khi một vật đang chuyển động trong vật lý.
Ký hiệu đạo hàm như sau: Đạo hàm của hàm y=f(x) được ký hiệu là f′(x0) hoặc y′(x0). Cụ thể:

Trong đó:
Số gia của đối số sẽ là Δx=x−x0
Số gia của hàm sẽ là Δy=y−y0

2. Ý nghĩa của công thức đạo hàm
Đạo hàm có ý nghĩa quan trọng trong lĩnh vực Toán học và Vật lý, cụ thể:
Trong Toán học
Ý nghĩa của đạo hàm trong hình học của Toán học lớp 11: Cho hàm số y = f(x) xác định trên khoảng (a;b) với đạo hàm tại x , gọi (C) là đồ thị của hàm số đó.

Trong Vật lý học
Ý nghĩa của đạo hàm chính là vận tốc tức thời khi 1 vật đang chuyển động. Nếu như chuyển động tuyến tính được xác định bởi phương trình: s = f(t), trong đó f(t) là hàm có đạo hàm thì vận tốc tức thời sẽ được xác định tại thời điểm t0 là đạo hàm s = f(t) tại t0
Tham khảo: Ca nhạc trữ tình
3. Các quy tắc cần nhớ khi áp dụng công thức đạo hàm 11
Khi áp dụng công thức tính đạo hàm để tính toán và giải các bài tập toán học, chúng ta cần lưu ý:

Công thức tính đạo hàm đầy đủ nhất bao gồm: đạo hàm cơ bản, đạo hàm lượng giác, đạo hàm logarit và đạo hàm cấp cao. Cụ thể như sau:
1. Công thức đạo hàm cơ bản
Các công thức của đạo hàm cơ bản gồm có:
Đạo hàm của f(x) (x là biến)
Đạo hàm của f(u) (u là một hàm số)
Đạo hàm của phân số hữu tỉ

2. Công thức tính đạo hàm lượng giác
Công thức tính đạo hàm lượng giác và hàm lượng giác ngược như sau:

3. Công thức tính đạo hàm logarit
Công thức tính đạo hàm logarit như sau:

4. Công thức tính đạo hàm cấp cao
Công thức tính đạo hàm cấp cao cụ thể như sau:

5. Bảng đạo hàm và nguyên hàm
Bảng đạo hàm và nguyên hàm:

Tham khảo: Diện tích hình thoi
4. Đạo hàm và nguyên hàm trong Toán học có mối quan hệ gì không?
Nguyên hàm trong Toán học của 1 hàm thực f đã cho trước là hàm F. Với hàm F có đạo hàm tại f. Trong quá trình tìm kiếm và xác định các biểu thức nguyên hàm khó hơn tìm đạo hàm.
Nguyên hàm thường được coi là 1 phần của đạo hàm, và được định nghĩa từ đạo hàm. Đạo hàm và nguyên hàm trong Toán học có mối quan hệ mật thiết với nhau. Hay theo cách khác, ngược lại với việc tìm đạo hàm là tìm bản gốc.
>>Tham khảo: Bảng đơn vị đo khối lượng
5. Một số dạng bài tập áp dụng công thức đạo hàm
Để giúp quá trình học dễ dàng hơn, chúng tôi có tổng hợp một số dạng bài tập về công thức tính đạo hàm. Mời các em tham khảo:
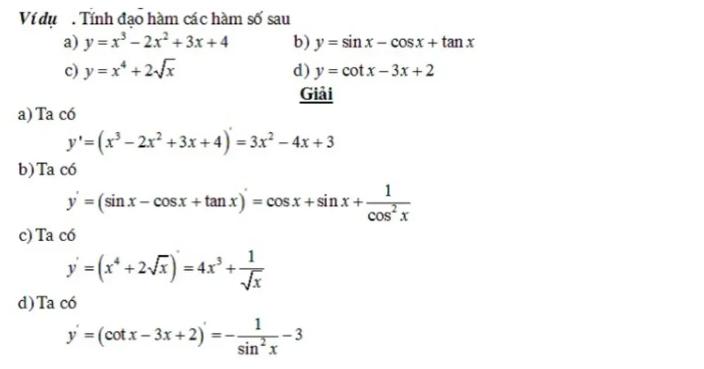
Dạng 1: Dạng bài áp dụng khái niệm, định nghĩa đạo hàm
Với dạng bài cơ bản áp dụng khái niệm và định nghĩa là đơn giản nhất. Phương pháp giải các bài tập này bằng cahcs vận dụng định nghĩa, các công thức cơ bản để tính toán. Ví dụ như sau:

Dạng 2: Viết phương trình tiếp tuyến khi đã biết tiếp điểm
Với dạng bài này áp dụng các công thức tính đạo hàm phổ biến. Trong đề bài sẽ cho phương trình tiếp tuyến của đồ thị hàm số (C): y= f(x). Phương trình này có sẽ tiếp điểm M(x0 ; y0) , với dạng: y = y ‘(x0)(x-x0) + y0. Do đó, các em cần căn cứ và dữ kiện của đề bài thay thế các dữ liệu đã cho để tìm đáp án chính xác.
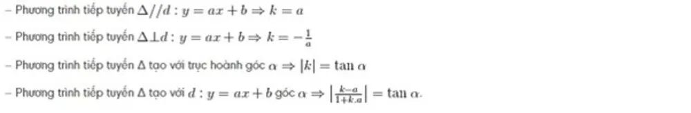
Dạng 3: Viết phương trình tiếp tuyến khi cho biết hệ số góc
Với dạng bài này, dữ kiện đề bài cho biết Δ có hệ số góc là k, yêu cầu viết phương trình tiếp tuyến Δ của (C) có dạng : y = f( x )

Dạng 4: Chứng minh đẳng thức liên quan đến đạo hàm theo điều kiện cho trước
Dựa vào điều kiện có sẵn và yêu cầu phải chứng minh mối liên hệ nào đó dựa trên điều kiện này. Học sinh sẽ cần tính toán, chứng minh các đẳng thức liên quan đến đạo hàm và đưa ra kết quả chính xác.

Dạng 5: Giải các phương trình và bất phương trình có đạo hàm
Để giải dạng bài này, học sinh cần kết hợp nhiều công thức tính đạo hàm, nguyên hàm để tìm ra được kết quả cuối cùng chính xác.

Dạng 6: Tính đạo hàm cấp cao với áp dụng công thức y(n) = (y(n-))’
Với dạng bài này áp dụng với công thức tính đạo hàm từ cấp 2 trở lên. Muốn tính chính xác đạo hàm y’ cấp cao, các em cần nắm vững công thức y(n) = (y(n-1))’. Chúng ta cần tính y’ từ cấp 1, 2, 3, 4… lần lượt. Sau đó tìm ra công thức và tính chính xác y’ cấp n.
Dạng 7: Dạng bài áp dụng công thức nguyên hàm và đạo hàm
Với dạng bài này, để giải chính xác học sinh cần nắm vững công thức tính đạo hàm và nguyên hàm đã được học. Sau khi thực hiện, các em cần phải rút gọn hàm số sau đó mới áp dụng công thức để tiến hành tìm y’ của hàm số.

>> Tham khảo: Công thức cấp số nhân
6. Những lưu ý và phương pháp nhớ khi học đạo hàm
Đạo hàm là nội dung kiến thức không phải đơn giản. Do đó nhiều học sinh gặp khó khăn trong việc ghi nhớ bảng đạo hàm và tìm cách giải. Một số lưu ý dưới đây sẽ giúp các em giải quyết vấn đề này:
Nghiêm túc, tập trung trong học tập: Công thức tính đạo hàm lớp 11 mang tính chất đặc thù, khó nhớ nên các em cần có thái độ nghiêm túc trong học tập. Các em học sinh cần có sự kiên trì nghiên cứu thì mới có thể áp dụng nhanh và chính xác được.
Học đi đôi với hành: Ngoài việc nghiên cứu lý thuyết, chúng ta cần áp dụng làm bài tập để hiểu sâu kiến thức và nhớ lâu hơn. Đầu tiên cần thành thạo trong giải các dạng toán của cơ bản trong sách giáo khoa. Sau đó, mở rộng ra làm các kiến thức nâng cao và luyện các dạng đề thi.
Tích cực giải đáp vấn đề với thầy cô , bạn bè: Nếu như có bất kỳ thắc mắc hay cảm thấy khó khăn chúng ta nên tìm cách trao đổi với thầy cô và các bạn khác. Ngoài ra, học sinh cũng cần chủ động tìm kiếm thông tin, giao lưu và học hỏi thêm.
Đạo hàm là kiến thức Toán học quan trọng xuất hiện trong các kỳ thi Trung học hổ thông. Tuy nhiên, đây có thể là kiến thức mới, khó nhớ với các em. Để học tốt, các em cần tìm hiểu sâu, rèn luyện đa dạng và thườn xuyên làm các bài tập liên quan. Nếu còn thắc mắc, các em có thể để lại dưới comment để được giải đáp nhé!
Bài viết tương tự
23
Tháng 10
Da ngăm nên mặc áo màu gì để sáng da? Gợi ý phối màu tôn da cực đẹp
[MỤC LỤC] 1.Xu hướng thời trang 2025 có màu nào hợp nhất với người da ngăm? 2.Da ngăm nên mặc áo màu gì để sáng da và không bị xỉn? 3.Cách phối màu thời trang 20...
Đọc thêm
23
Tháng 10
Size S là bao nhiêu kg? Cách chọn quần áo vừa, tôn dáng và thoải mái
[MỤC LỤC] 1.Cách chọn size quần áo chuẩn theo chiều cao và cân nặng. 2.Size S là bao nhiêu kg? Bảng quy đổi size quần áo nữ và nam chuẩn nhất 3.Cách chọn size quần áo c...
Đọc thêm
23
Tháng 10
Chân váy jean dài phối với áo gì để mặc đẹp, tôn dáng và thời trang?
[MỤC LỤC] 1. Chân váy jean dài – item thời trang không bao giờ lỗi mốt 2. Chân váy jean dài phối với áo gì cho từng phong cách 3. Cách phối chân váy jean dài theo mùa ...
Đọc thêm